Hier finden Sie die Lösungen der WWW-Aufgaben des 7.Übungsblatts.

Aufgabe 7.1

(a)

Schaltplan eines Theremins

(Quelle: http://www.mikrocontroller.net/attachment/19778/theremin.JPG 05.07.2011)

Das Theremin verfügt, je nach Bauweise, über 1 bis 2 Antennen (im Original 2). Mit ihnen kann die Lautstärke und Tonhöhe verändert werden. Die linke Hand verändert die Lautstärke, die Rechte die Tonhöhe. Je eine Handfläche und eine Antenne bilden ein Kondensatorplattenpaar. An die Enden der Antennen sind Schwingkreise angeschlossen, die je ihre Kapazität je nach Abstand der Handflächen zu den Antennen ändern. Außerdem sind im inneren 3 Oszillatoren verbaut. Die Ausgangssignale von 2 Oszillatoren werden gemischt an einen Lautsprecher ausgegeben. Wiederum einer dieser Oszillatoren wird durch die Bewegung der rechten Hand und der daraus resultierenden Kapazitätsänderung "verstimmt", was im Gemisch der beiden Ausgangssignale eine andere Frequenz (Ton) erzeugt. Der dritte Oszillator dient zur Lautstärkeregelung, in dem die Frequenz in Spannung umgewandelt wird und somit die Lautstärke des Lautsprechers verändert werden kann.

(b)

Pro Kontra
  • flexible Einsatzmöglichkeiten
  • innovative Bedienkonzepte
  • alle Dinge vernetzt
  • neue Möglichkeiten für Architekten / Designer
  • dimmbares Glas
  • extrem dünne Geräte / Materialien
  • Zeiteinsparung durch intuitive Interfaces
  • Erleichterte Suche
  • wetterbeständig?
  • nicht ortsgebunden ("flexible Display Glass")
  • nicht formgebunden
  • alle Dinge vernetzt
  • Herstellungskosten?
  • Recycling, Wiederverwendbarkeit?
  • Umweltverträglichkeit?
  • wahrscheinlich nur in Industrieländern
  • Abhängig vom Hersteller - Preis, Ersatz… ?
  • Alter der Benutzer nicht berücksichtigt
  • Verträglichkeit mit anderen Geräten?

Der Werbefilm zeigt viele interessante Ansätze und Ideen. Teilweise sind diese schon heute umsetzbar / umgesetzt. Es bleibt jedoch die Frage offen, ob sich jeder so die Zukunft vorstellt oder sie so haben möchte. Letztendlich bleibt es jedoch jedem selbst überlassen, wie er seine Umwelt dekoriert oder einrichtet. Leider werden neue Technologien viel zu oft in den Markt gedrängt ohne sicher zu sein ob diese auch funktionieren, oder viel schlimmer noch, überhaupt verträglich sind. Ein gutes Beispiel sind die Touchscreens, denn immer mehr Geräte werden mit Touchscreens ausgeliefert, wobei oft altbekannte Dinge als vollkommen neu und revolutionär dargestellt. Die alte Devise "Nicht alles was glänzt, ist Gold" verliert auch hier nicht ihre Aussagekraft. Schön anzusehen ist dieser Werbefilm, vielleicht werden sogar ein paar nützliche Dinge aufgezeigt, aber warten wir doch lieber der Dinge die da kommen.

(c)

Alle kapazitiven Touchscreen basieren auf der Veränderung elektrischer Felder. In der Regel befindet sich auf dem Gerät eine mit Metalloxid beschichtete Glasplatte, die wie ein Kondensator aufgeladen wird und somit ein homogenes elektrisches Feld erzeugt. Diese Beschichtung erfolgt meist in Form von Leiterbahnen in mehreren Ebenen und Richtungen. Die Leiterbahnen kann man mit Drähten in normalen elektrischen Schaltungen vergleichen. Wird nun eine Spannung (ca. 10 V) an diese Leiter angelegt breiten sich die Feldlinien im Raum um den Leiter aus. . Es entsteht ein sogenanntes Matrixfeld. In dieser Matrix können Kapazitätsänderungen festgestellt und daraus die genaue Position der Berührung festgestellt werden. Die Berechnung der Berührung erfolgt durch einen extra Chip.
Das Signal-Rausch-Verhältnis (auch Störabstand a oder (Signal-)Rauschabstand aR, abgekürzt SRV oder S/R beziehungsweise SNR oder S/N von englisch signal-to-noise ratio) ist ein Maß für die technische Qualität eines Nutzsignals, das von einem Rauschsignal überlagert ist. Es ist definiert als das Verhältnis der mittleren Leistung des Nutzsignals zur mittleren Rauschleistung des Störsignals.
(Quelle: http://de.wikipedia.org/wiki/Signal-Rausch-Verh%C3%A4ltnis (05.07.2011))
Da auch ein Touchscreen nicht frei von Wechselwirkungen mit seiner Umwelt ist, muss hier sauber zwischen "echten" und "scheinbaren" Eingaben getrennt werden. Kann diese Unterscheidung nicht ausgeführt werden, besteht die Gefahr von ungewollten Eingaben. Der Signal Rausch Abstand gibt hier das Verhältnis zwischen Nutz- und Störsignal an.
Der Ideale 3D Bildschirm (mit Eingabefunktion > 3D Touchscreen) würde dem Theremin sehr ähneln. Man stellt sich hier ein in den Raum projiziertes Bild vor, ähnlich dem 3D-Kino, in dem man mit der Hand, oder dem Ganzen Körper, die Darstellung verändern und / oder beeinflussen kann. Dieses Modell ist jedoch von mehreren Faktoren abhängig. Es besteht die Möglichkeit die 3D Technik mit Brille zu realisieren oder ohne. Jedoch wirft die Möglichkeit ohne Brille das Problem auf, dass sie nur aus einem sehr kleinen Blickwinkel funktioniert. Zur X und Y Komponente eines normalen Touchscreens müsste zusätzlich eine Z Komponente hinzugefügt werden, die den Abstand vom Display angibt. Um dies zu realisieren, müssten die elektrischen Felder viel weiter in den Raum reichen, was sie extrem anfällig für Störungen macht. Zusammenfassend kann man sagen, dass es noch einiger Zeit und vieler guter Ideen bedarf, bis wir auch 3D Touchscreens benutzen können.

Quellen: Stefan Möstel: "Multimodale Systeme im mobilen und stationären Einsatz: Am Beispiel der kollaborativen Geschäftsprozessmodellierung". Grin Verlag (2010) Joachim Schenk,Gerhard Rigoll: "Mensch-Maschine-Kommunikation: Grundlagen von sprach- und bildbasierten Benutzerschnittstellen" Springer-Verlag Berlin Heidelberg (2010) Martin Borré, Thomas Reintjes: "Warum Frauen schneller frieren: Alltagsphänomene wissenschaftlich erklärt" C.H. Beck oHG (2005) Detlef Zühlke: "Useware-Engineering für technische Systeme" Springer-Verlag Berlin Heidelberg (2004)

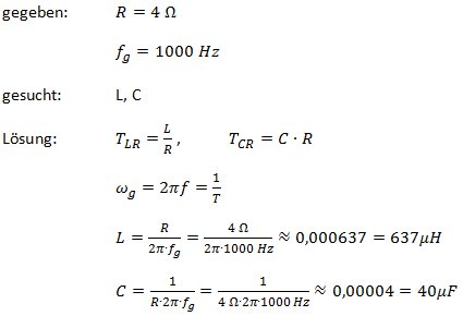
Aufgabe 7.4

(a)

Die Filtersteilheit beträgt: 6dB / Oktave

Frequenzweiche 1.Ordnung Bodeplotter über dem Kondensator Bodeplotter über der Spule

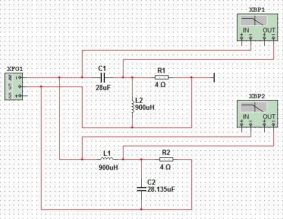
(b)

Die Filtersteilheit beträgt: 12dB / Oktave

Bei einer Anordnung nach diesem Schema bestehen 2 Problemquellen. Das erste Problem ist die Phasenverschiebung von 180° die zu ungewollten Effekten führt. Ein zweiter ungewollter Effekt ist der, dass sobald sich das System in Resonanz befindet, die Eingangsfrequenz (hier 1000 Hz) zusätzlich verstärkt wird und somit eine höhere Belastung darstellt.

Frequenzweiche 1.Ordnung Bodeplotter über dem Kondensator Bodeplotter über der Spule

Bodeplotter über dem Kondensator Phasenverschiebung Bodeplotter über der Spule Phasenverschiebung

©2010 - 2011 Benjamin Burse [+] Impressum [+] Kontakt