Hier finden Sie die Lösungen der WWW-Aufgaben des 6.Übungsblatts.

Aufgabe 6.3

(a)

Lösungen der Aufgabe 6.3 a

(b)

Lösungen der Aufgabe 6.3 b Graph von u(t) und i(t)

(c)

Lösungen der Aufgabe 6.3 c

Zur Berechnung des Stroms im Kondensator, muss die Spannung differenziert werden. Um den Strom durch die Spule zu berechnen, muss die Spannung integriert werden. Daraus folgt eine Phasenverschiebung um 180°.
Um den gesamt Stromfluss zu berechnen, bildet man den Betrag der Differenz aus den Effektivströmen (Kondensator, Spule).

Lösungen der Aufgabe 6.3 c

(d)

Wie in Aufgabe 6.3c beschrieben errechnet sich der Strom aus dem Betrag der Differenz von IL und IC. Die Kapazität C ist umgekehrt proportional zum kapazitiven Widerstand XC.

Lösungen der Aufgabe 6.3 d

Wird nun die Kapazität verkleinert, sinkt der kapazitive Widerstand XC, und somit auch der Gesamtstrom, solange, bis die Scheinwiderstände von Kondensator (XC) und Spule (XL) gleich sind. An diesem Punkt heben sich die Scheinwiderstände gegenseitig auf. Sinkt die Kapazität noch weiter, wird der Betrag der Differenz (6.3c) wieder größer und der Gesamtstrom steigt wieder.

Aufgabe 6.4

(a)

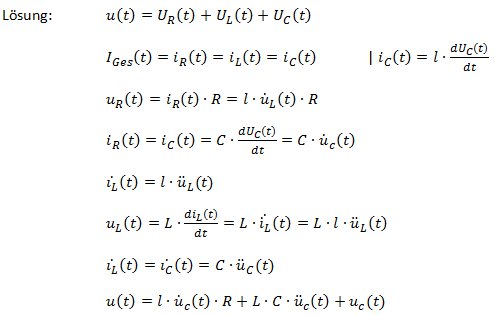
Differenzialgleichung des Vierpols

(b)

abgelesene Werte der Schaltung Zeigerdiagramm 2-Kanal Oszillograph Multisim Schaltplan der Aufgabe 6.4b Multisim

(c)

f in kHz
50 1,1034 0,0341
75 1,2570 0,6245
100 1,6620 0,1060
125 2,7170 0,2034
150 7,2200 0,7040
175 5,2780 2,6554
200 1,8140 2,9066

Uc-Dach U-Dach Diagramm Phasenwinkel Diagramm

Oszillograph 50kHz Oszillograph 100kHz Oszillograph 150kHz Oszillograph 200kHz

(d)

Aus der Simulation lassen sich folgende Werte ablesen:

Bodeplotter Amplitudengang Bodeplotter Phasengang Schaltplan

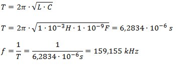
(e)

Thomsonsche Schwingungsgleichung

Wir sehen deutlich, dass nur geringe Differenzen zwischen abgelesenen und berechneten Werten aus den Aufgaben 6.4a-d bestehen. Der abgelesenen Werte der Aufgabe 6.4b weichen jedoch stärker von den Ergebnissen aus 6.4e ab, also die abgelesenen aus 6.4d.

Anwendungen:

©2010 - 2011 Benjamin Burse [+] Impressum [+] Kontakt