Hier finden Sie die Lösungen der WWW-Aufgaben des 5.Übungsblatts.

Aufgabe 5.1

(a)

Bei der kabelgebundenen Datenübertragung muss beachtet werden, dass die Eindeutigkeit der Informationen mit zunehmender Kabellänge verloren gehen. Außerdem muss beachtet werden, dass jedes Kabel eine sogenannte kritische Länge hat. Wird diese Länge überschritten, ist es nicht mehr möglich an der anderen Seite noch Daten zu empfangen. In der Regel wird auf der Senderseite eine Sprungfunktion eingespeist, doch durch die oben beschriebenen Verluste, ist es nicht möglich diese Funktion auf der Empfängerseite abzunehmen. Daher wird die Abnahme auf der Empfängerseite auch als Übertragungsfunktion oder Sprungantwort bezeichnet.
Als PT1-Glied bezeichnet man […] in der Regelungstechnik (ein Element), (das) […] ein proportionales Übertragungsverhalten mit Verzögerung 1. Ordnung aufweist. (Ein gebräuchliches) […] Beispiele […] ist (der Tiefpass) in der Elektrotechnik […].
(Quelle: http://de.wikipedia.org/wiki/PT1-Glied)
In unserem Fall dient das PT1-Glied zur Modellierung der Kupferleitung. Die Übergangsfunktion des PT1-Glieds ist die e-Funktion. Man kann die Leitung sehr gut mit einem Tiefpassfilter vergleichen, denn die Geschwindigkeit mit der die Bits übertragen werden können, wird durch die Länge beschränkt.

(b)

(c)

Graph der Funktion D

(d)

Aufgabe 5.2

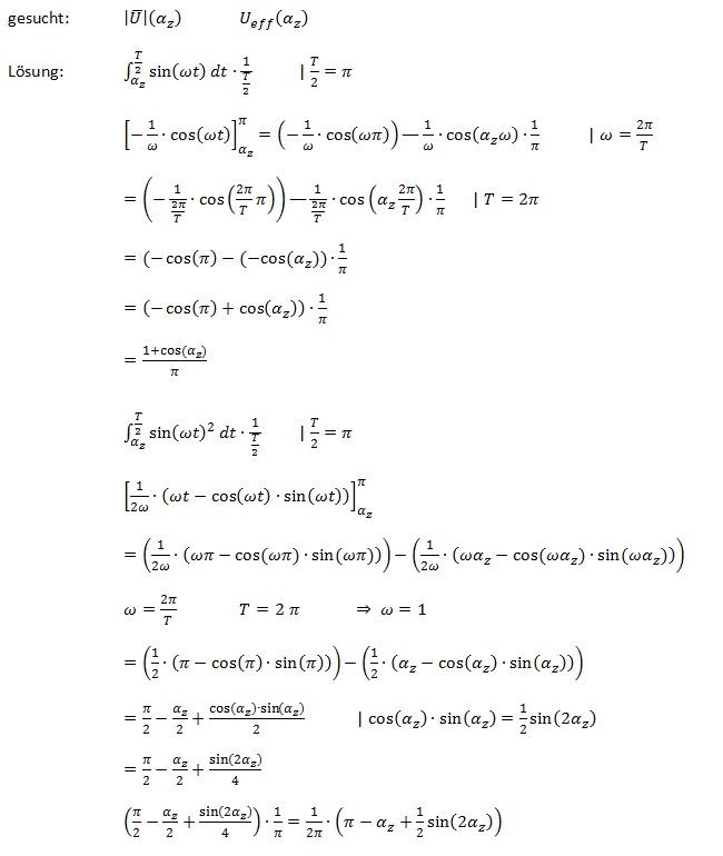
(a)

Gleichrichtwert Effektivwert

(b)

Gleichrichtwert Effektivwert

(c)

Thyristor Triac Diac
Thyristor Triac Diac
leiten von Strom nur in eine Richtung leiten von Strom in beide Richtungen
Schaltbar mit Gate Schaltbar mit Spannung
Überkopfzündung möglich (nicht gewollt) Überkopfzündung benötigt
Benutzung für Wechselstrom-Spannungssteuerung

(d)

Eine Alternative wäre die Phasenabschnittssteuerung. Bei diesem Verfahren wird der Endteil einer Phase abgeschnitten. Phasenab- und Phasenanschnittssteuerung sind vergleichbar, jedoch bietet jedes Verfahren seine Vor- und Nachteile. Spannungsteuerung von kapazitiven Lasten wird mittels Phasenabschnittssteuerung, Spannungsteuerung von induktiven Lasten mittels Phasenanschnittssteuerung realisiert.
Der Vorteil der Phasenanschnittsteuerung (und Phasenabschnittsteuerung) im Vergleich zu Schaltungen, bei denen die Spannung durch einen Widerstand geregelt wird, ist ihre sehr geringe Verlustleistung. Im Gegensatz zu komplizierten regelbaren Schaltnetzteilen, die auch geringe Verlustleistung haben, ist eine Phasenanschnittsteuerung wesentlich einfacher und kleiner aufzubauen und weniger störanfällig.
(Quelle: http://de.wikipedia.org/wiki/Phasenanschnittsteuerung)

Wie oben bereits erwähnt kann eine Helligkeitssteuerung auch mit Widerständen realisiert werden. Der größte Nachteil ist jedoch der Spannungsabfall über dem Widerstand. Bei kleinen Leuchtmitteln wie LEDs spielt der Abfall keine Rolle, hingegen bei größeren Leuchtmitteln ist dieser inakzeptabel.

©2010 - 2011 Benjamin Burse [+] Impressum [+] Kontakt