Aufgabe 5.1
A)
Die Bitrate stellt das Verhältnis einer Datenmenge zu einer Zeit dar, typischerweise
gemessen in Bit pro Sekunde. Sie bezeichnet die Ausgabemenge vin Informationseinheiten
bei digitalen, auf konstante Ausgabezeit gebundenen Multimediaformaten auf einer
Zeitleiste. Eine höhere Bitrate erzielt ein qualitativ besseres Ergebnis, eine niedrigere
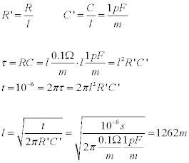
kommt mit weniger Datenvolumen aus.Das PT1-Glied modelliert unsere
Übertragungsinfrastruktur und stellt einen Tiefpassfilter dar. Es beschränkt die
Geschwindigkeit der Datenübertragung abhängig zur Leitungslänge. Die Übergangsfunktion
des PT1-Glieds ähnelt der e-Funktion.Die Sprungantwort ist das gegensätzliche Pendant der
Sprungfunktion. Während die Sprungfunktion dem einem Ende des Kabels zugeführt wird,
resultiert am anderen Ende daraus die Sprungantwort.
b)
d)
Zur quantitativen Steigerung der Datenübertragung kann man seriell mehrere Leitungen nutzen.
Das Signal muss dabei währrend der Einspeisung aufgeteilt und beim Empfänger wieder korrekt
zusammengesetzt werden. Die dabei entstehenden Mehrkosten sind jedoch in den meisten Fällen
in Anbetracht zum Nutzen nicht tragbar, da ein Vielfaches der Übertragungskabel von Nöten ist.
Speziell für längere Strecken ist dieses Verfahren also suboptimal.
Dahingegen stellt der Einsatz von Repeatern innerhalb der Übertragungsstruktur eine
angemessene Lösung dar, auch wohl sich dabei die Latenz erhöht. Diese nehmen das Signal auf
und erneuern es kurz vor der kritischen Leitungslänge.
Aufgabe 5.2
a)
b)

c)

d)
Der Stromfluss zur Helligkeitsregelung kann auch anderweitig gedrosselt werden, so z.B. durch
den Einsatz einfacher Widerstände. Bei kleineren Lichtquellen stellt dies noch eine
passable Lösung dar, jedoch entsteht bei größeren Beleuchtungen durch die restliche Spannung
am Widerstand eine nicht ungefährliche Wärme.
Quellen:
http://de.wikipedia.org/wiki/Thyristor
http://de.wikipedia.org/wiki/Triac
http://de.wikipedia.org/wiki/Diac
http://www.rn-wissen.de/index.php/Diac,_Triac,_Thyristor
http://www.netzmafia.de/skripten/telefon/isdn-a.html
Aufgaben
Startseite