Aufgabe 6.3
a)

b)

c)
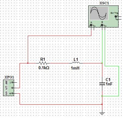
Aufgabe 6.4
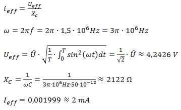
a)

b)

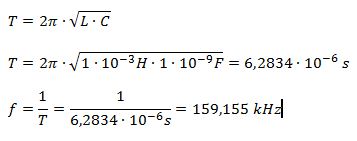
Abgelesene Periodenlänge:

berechnete Frequenz:
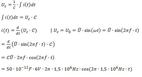
c)
d)
folgende Werde sind abzulesen:
e)
Thomsonsche Schwingungsgleichung

Zu erkennen ist hier, das die errechneten und die abgelesenen Werde nahzu identisch sind.
Anwendungen:
Endstufen
Antennen
Frequenzweichen
Radio
Aufgaben
Startseite