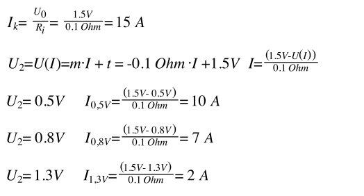
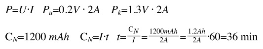
Aufgabe 3

Aufgabe 3

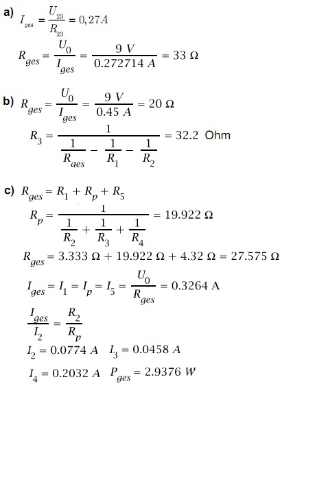
Aufgabe 3.1a-c


Aufgabe 3.3

Aufgabe 3.3a


Aufgabe 3.3b


Aufgabe 3.3c

Parallelschaltung
Die Stromstärke verdoppelt sich.Die Leerlaufspannung
und der Innenwiderstand beiben gleich.
Parallelschaltung
Leerlaufspannung und der Innenwiderstand verdoppeln sich.
Die Stromstärke gleich.
Aufgabe 3.3d

Man sollte NIE verschiedene Stromquellen miteinander parralel schalten. Dabei kann es zu
zum Teil gefählichen Stromflüssen unter den Quellen kommen(verdopplung der Stromstärke).
Dies kann soweit gehen, dass die Quellen beschädigt werden, oder das sogar
die Verbraucher zerstört werden.

Aufgabe 3.4




Aufgaben
Startseite