13.2 Nichtlineare Verzerrung - Klirrfaktor

a)

b)




 

c)

Vor Diode:



Hinter Diode:



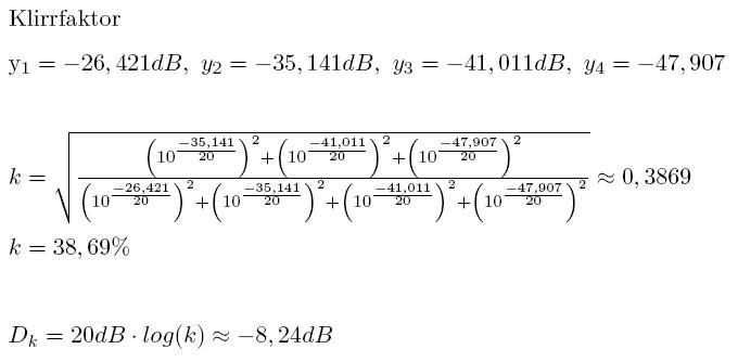
1. Harmonische:


2. Harmonische:


3. Harmonische


4. Harmonische:




d) Fourieranalyse







 

e) Tiefpassschaltung





1. Harmonische


2.Harmonische


3. Harmonische



4. Harmonische:







Fourieranalyse:







f) Kennlinientypen:

Quadratische Parabel


2fach differenzierbar - 2 Oberschwingungen



Kubische Parabel


3fach differenzierbar - 3 Oberschwingungen



Wurzelfunktion:


Unendlich oft differenzierbar - unedlich viele Oberschwingungen



Exponentialfunktion:


Unendlich oft differenzierbar - unendlich viele Oberschwingungen



Logarithmusfunktion:

Unendlich oft differenzierbar - Unendlich viele Oberschwingungen