12.2 Frequenzgang-Beeinflussung

a)

Die Beeinflussung des Tons erfolgt im Allgemeinen durch Höhen- und Tiefen-Einsteller.

Technisches Prinzip:

  • Beeinflussung von Frequenzen
  • wählbare Amplituden-Frequenzgänge

Beispiele:

Klangregler

  • dient der Klangkorrektur
  • verstärkt oder mildert hohe oder tiefe Frequenzbereiche
  • mit mindestens zwei Klangreglern jedem bekannt als "Equilizer" oder "Entzerrer"
  • im simpelsten Fall: Tonblende

Equalizer:

  • dient auch der Klangkorrektur, kann aber auch zur sonstigen Bearbeitung des Klangbildes eingesetzt werden
  • meist über 3 Module regelbar: Höhen - Mitten - Tiefen
  • kann auch bestimmte Frequenzbänder herausfiltern

Quellen:

http://www.mediaculture-online.de/fileadmin/bibliothek/hofmann_rundfunklexikon/hofmann_rundfunklexikon.html
http://www.elektroniktutor.de/analog/filter.html#shelving


 

 

b)

Passiver Fächer-Einsteller

Kombination aus einstellbarem Hoch- und Tiefpass (welche über einen Widerstand verbunden sind)

Darstellung als Blackbox:



Die Potentiometer habe ich in der Schaltung durch die Wiederstände R3, R5, R7 und R8 ersetzt.

 


c)

 

TP geschlossen, HP geschlossen


TP geschlossen, HP halboffen

TP geschlossen, HP offen

TP halboffen - HP geschlossen

TP halboffen, HP halboffen

TP halboffen, HP offen

TP offen, HP geschlossen

TP offen, HP halboffen

TP offen, HP offen,

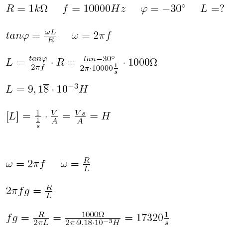
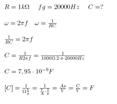
12.3

a)

Anti-Aliasing-Tiefpass-Filter

  • reale Signale beeinhalten Rauschanteile
  • Signal-/Rauschverhältnis = Grundlage für Festlegung Frequenzgrenze
  • reale Signale sind nicht bandbegrenzt

Ein Anti-Aliasing-Tiefpass-Filter bietet kein ideales Durchlass- bzw Sperrverhalten.

  • die Abtastfrequenz ist größer als theoretisch notwendig

Bildquelle und Quelle: SCHEITHAUER, Rainer: Signale und Systeme : Grundlagen für die Mess- und Regelungstechnik und Nachrichtentechnik,
2., durchges. Aufl., Stuttgart [u.a.] : Teubner, 2005. - ISBN 3-519-16425-6

b)

 

 

c)

 

Idealisierter Hochpass:

lässt hohe Frequenzen durch
ausserhalb der Grenzfrequenz lässt er das Signal unberührt

 

Idealisierter Tiefpass:

lässt tiefe Frequenzen durch
ausserhalb der Grenzfrequenz lässt er das Signal unberührt

 

 

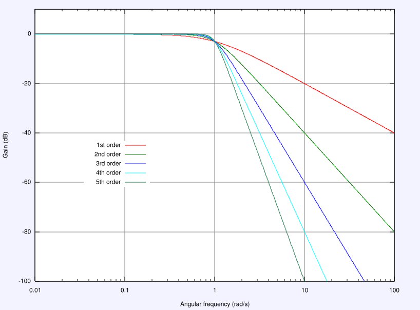
Cauer-Filter:

Dämpfungsverhalten ist gekennzeichnet durch einen steilen Übergang vom Durchlassbereich zum Sperrbereich.
Der Phasenverlauf ist nicht linear - und er zeichnet sich durch seinen im Gegensatz zu den anderen Filtern simplen
Schaltungsaufbau aus.

Frequenzgang:

Bildquelle: http://de.wikipedia.org

 

Tschebyscheff-Filter


Bildquelle: http://de.wikipedia.org/wiki/Tschebyscheff-Filter




Dämpfungsverhalten schwingt im Durchlassbereich, dann steil fallend
Auch hier ist der Phasenverlauf nicht linear. Zudem ist die Gruppenlaufzeit stark abhängig von der Frequenz.

Frequenzgang:

Bildquelle: http://www.itwissen.info


Bessel-Filter:

Dämpfungsverhalten fast konstant im Durchlassbereich
Der Phasenverlauf ist linear. Der Haupteinsatz ist die Übertragung von breitbandigen Signalen.

Frequenzgang:


Bildquelle: http://www.itwissen.info

 

Butterworth-Filter

Charakteristisch für den Filter ist, dass er ein maximal ebenes Dämpfungsverhalten hat.
Der Phasenverlauf ist fast linear. Findet Anwendung in der Übertragung von schmalbandigen Signalen.

Frequenzgang:

Bildquelle: http://de.wikipedia.org/wiki/Butterworthfilter

 

Quellen:

SCHEITHAUER, Rainer: Signale und Systeme : Grundlagen für die Mess- und Regelungstechnik und Nachrichtentechnik,
2., durchges. Aufl., Stuttgart [u.a.] : Teubner, 2005. - ISBN 3-519-16425-6


http://www.itwissen.info/definition/lexikon/Butterworth-Filter-Butterworth-filter.html
http://www.itwissen.info/definition/lexikon/Bessel-Filter-Bessel-filter.html
http://de.wikipedia.org/wiki/Tschebyscheff-Filter
http://de.wikipedia.org/wiki/Butterworthfilter
http://de.wikipedia.org/wiki/Cauer-Filter
http://www.elektronikinfo.de/techpic/strom/rc_frequenzgang_tiefpass.gif


d)

 

 

 

 

Quellen:

http://www.computerbase.de/lexikon/Terzfilter
http://www.computerbase.de/lexikon/Oktavfilter

 

12.4

a)

b)

 

Es handelt sich um einen Tiefpass - Frequenzen im hohen Bereich werden herausgefiltert.

 

 

c)

 

 

Es handelt sich um einen Bandpass.