3.2

a)

Die momentane Kapazität von 3,5"-Festplatten entspricht 1000 GB bei einer Datendichte von 132 GBit / Quadratzoll unter Verwendung von Perpendicular Recording.
(http://de.wikipedia.org/wiki/Festplatte)
(http://de.wikipedia.org/wiki/Perpendicular_Recording)

Western Digital plant bis 2010 eine Festplatte die 3 TB fassen soll auf dem Markt einzuführen. Es wird eine Datendichte von 520 GBit / Quadratzoll angepeilt.

(http://www.golem.de/0710/55469.html)

Hitachi dagegen versucht mit der Entwicklung neuartiger Schreib- und Lese-Köpfe bis zum Jahr 2011 Kapazitäten von 4 TB zu erreichen. Laut Firmenaussage soll bis dahin eine Dichte von 1000 GBit / Quadratzoll verwirklicht sein.

(http://winfuture.de/news,35031.html)

 

b)

Festplattenspeicher - halblogarithmische Darstellung

Festplattenspeicher - lineare Darstellung

Halbleiterspeicher - halblogarithmische Darstellung

Halbleiterspeicher - lineare Darstellung

 

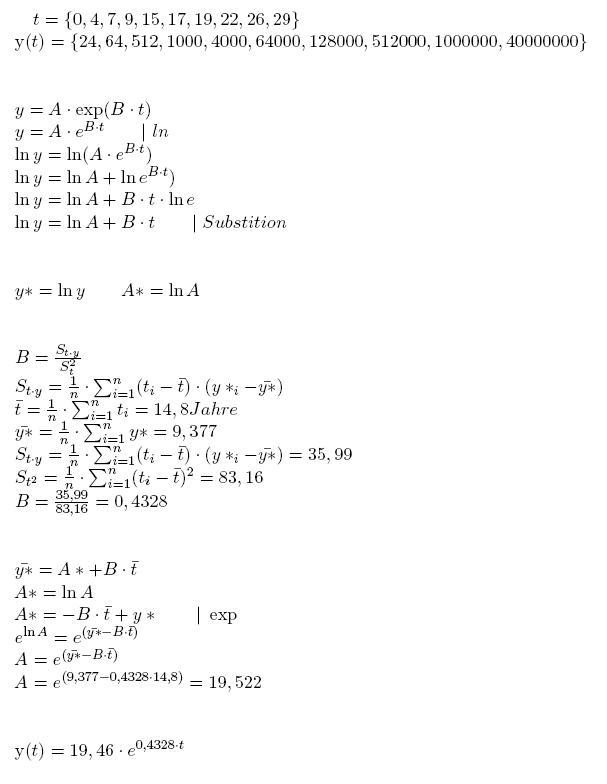
Regressionsmodell Halbleiterspeicher

 

 

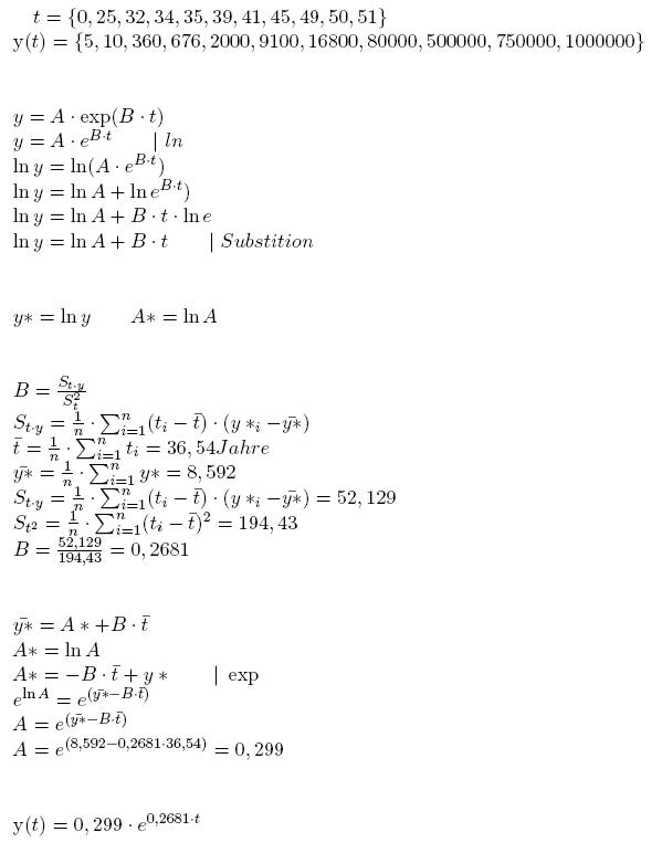
Regressionsmodell Festplattenspeicher

 

c)

Halbleiterspeicher

Festplattenspeicher

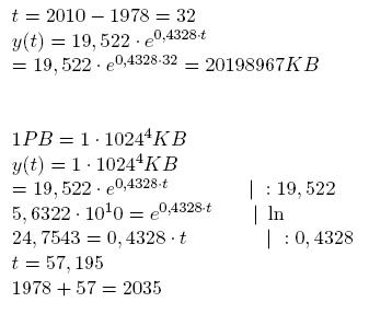
Nach dieser Modellierung wäre die Kapazität von Halbleiterspeicher im Jahre 2010 bei ca 20 GB angelangt. Festplattenspeicher dagegen bei ca 580 GB.
Schnell wird erkennbar, dass vergleichbare Festplattenkapazität schon im Jahre 2005 verfügbar war. Hier wird deutlich, dass das Regressionsmodell
schnell an seine Grenzen stößt.

Die Kapazität von 1 PB bei Halbleiterspeicher wäre im Jahre 2035 und bei Festplattenspeicher im Jahre 2038 erreicht.

 

d)

Dynamic Random Access Memory (DRAM)

  • flüchtiger Speicher

  • kann sehr preiswert hergestellt werden

  • jeweilige Speichereinheit setzt sich nur aus einem Transistor und einem Kondensator zusammen

  • die Ladung im Kondensator repräsentiert den Zustand eines Bits

  • die gespeicherten Daten benötigen periodische Auffrischung

  • Hauptverwendung in Computern als Arbeitsspeicher

  • Static Random Access Memory (SRAM)

  • flüchtiger Speicher

  • statt Kondensatoren werden Flipflops zur Speicherung verwendet

  • höhere Herstellungkosten als DRAM und höherer Stromverbrauch

  • häufig in Computern als Cache verwendet

  • Synchronous Dynamic Random Access Memory (SDRAM)

  • getaktete Fassung von DRAM

  • nur eine Taktflanke wird zur Datenübertragung verwendet

  • Betriebsspannung von 3,3 V

  • Rambus Dynamic Random Access Memory (RDRAM)

  • fand nur in speziellen Gebieten Verwendung (Workstations, Server)

  • benutzt wie DDR beide Taktflanken zur Übertragung

  • Markteinführung wurde massiv durch Industrieabsprachen behindert und sorgte schliesslich zum Scheitern der Technologie

  • Double Data Rate Synchronous Dynamic Random Access Memory (DDR-SDRAM)

  • hauptsächliche Verwendung als Computer-Arbeitsspeicher

  • Daten werden auf beiden Taktflanken übertragen

  • Geschwindigkeit abhängig von der Busbreite

  • Versorgungsspannung von 2,5 V

  • DDR2-SDRAM

  • Weiterentwicklung des DDR-SDRAM

  • Pro Lesevorgang werden doppelt soviele Adresse gelesen wie bei DDR-SDRAM

  • Versorgungsspannung von 1,8 V

  • geringerer Strombedarf, geringere Wärmeentwicklung

  • DDR3-SDRAM

  • Weiterentwicklung des DDR2-SDRAM

  • nochmalige Verdoppelung der Adressen die beim Lesevorgang übertragen werden (Achtfach-Prefetch)

  • Senkung der Versorgungsspannung auf 1,5 V

  • Magnetoresistive Random Access Memory (MRAM)

  • nichtflüchtiger Speicher

  • kann unendlich viele Schreibvorgänge wie SRAM oder DRAM aushalten

  • Bits werden nicht elektrisch sondern durch magnetische Ladungselemente gespeichert

  • Flash Memory

    nichtflüchtiger Speicher

  • weite Verbreitung z.B. in Form von USB-Sticks, Speicherkarten, Embedded Devices, BIOS

  • nur begrenzte Anzahl von Löschzyklen möglich

  • sehr teuer, wesentlich langsamer als DRAM/SRAM
  • Quellen:

    http://de.wikipedia.org/wiki/Dynamic_Random_Access_Memory
    http://de.wikipedia.org/wiki/SDRAM
    http://de.wikipedia.org/wiki/DDR-SDRAM
    http://de.wikipedia.org/wiki/RDRAM
    http://de.wikipedia.org/wiki/MRAM
    http://de.wikipedia.org/wiki/Random_Access_Memory
    http://de.wikipedia.org/wiki/SRAM
    http://de.wikipedia.org/wiki/Flash_memory
    http://www.elektronik-kompendium.de/sites/com/0309191.htm
    http://www.howstuffworks.com/ram.htm

     

    Lerngruppe: Bernd Naumann, Mareike Koch, Jakob Gomoll