zurück

Lehrgebiet Mediale Systeme II

SS 2009 - Aufgabe 11.3

  1. Lautsprecher - Netzwerk erster Ordnung

    Die folgenden Berechnungen uns Simulationen beschäftigen sich mit der Berechnung zwei geeigneter paralleler Netzwerke zur Aufteilung eines Eingangssignales in Hoch- und Tieffrequenzbereich. Es soll in Aufgabe a von einem Schaltkreis aus jeweils einem Widerstand (dem Lautsprecher) und einer Kapazität bzw. Induktivität. Der Aufbau soll somit dieser Skizze folgen:

    Aufbau wie oben beschrieben

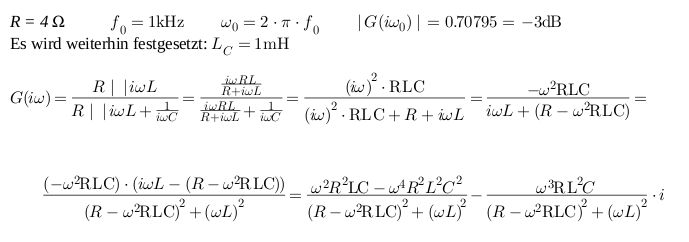
    Zuerst wird die Kapazität des Hochtonlautsprechers berechnet. Die Berechnung des Frequenzganges des Teilkreises erfolgt durch Einsetzen der entsprechenden Parameter a und b in die allgemeine Gleichung:

    Durch Anwendung des Satzes des Pythagoras auf Real- und Imaginärteil erhält man die Formel für die Amplitudenerhöhung in Abhängigkeit von der Frequenz:

    Löst man diese Formel nach C auf und setzt die in der Aufgabenstellung gegebenen Werte (R = 4 Ohm, f = 1 kHz, G(2*pi*f) = -3dB) ein, so erhält man die gesuchte Größe des Kondensators. Den Phasengang berechnet man durch den Arcustangens von Imaginärteil des Frequenzganges zu dessen Realteil.

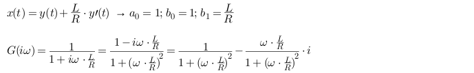
    Auf gleiche Art und Weise wird mit dem Tieftonlautsprecher verfahren:

    Berechnung der Frequenzerhöhung:

    Auflösen nach L, Einsetzen der Werte und Berechnung des Phasenganges:

    Die Filtersteilheit der beiden Kreise ergibt sich durch Einsetzen von f1 = 500 Hz (= f/2) in die Frequenzgangformel des Kondensatorkreise und dem Vergleich des Ergebnisses mit dem ursprünglichen Wert (-3dB = ca. 0.708). Für die Induktivität wird f2 = 2 kHz (= 2*f) benutzt um die entsprechende Steilheit zu berechnen. Es ergibt sich im Betrag bei beiden Berechnungen eine Steilheit von ca. 4 dB/Oktave.

  2. Netzwerk zweiter Ordnung

    In diesem Teil der Aufgabe soll nun die obige Anordnung durch eine weitere Spule/einen weiteren Kondensator erweitert werden, ihre Amplitudenerhöhung bei f = 1 kHz jedoch behalten. Es ergibt sich dabei folgende Schaltung:

    Der Phasengang verhält sich dabei wie folgt (Ordinate von -180° bis 180°):

    Phasengang, simuliert

    Zur Berechnung des Frequenzganges des Hochtonlautsprechers wird hier die Spannungsteilerregel benutzt:

    Daraus folgt wiederum die Amplitudenerhöhung:

    Schließlich wird das berechnet wie groß die Kapazität sein muss:

    Beim Tieftonlautsprecher geht man analog vor.

    Auch hier wird wieder aufgelöst und berechnet:

    Rechnet man auch hier wie schon unter Aufgabe a) die Filtersteilheit durch Einsetzen der doppelten/halben Frequenz aus, so erhält man höhere Werte: Für den Hochtonlautsprecher in diesem Zahlenbeispiel 8,65 dB/Oktave und bei der Tieftonvariante 9,31 dB/Oktave.

    Der Nachteil bei einem solchen System zweiter Ordnung ist allerdings, dass hier zwei frequenzabhängige Elemente gegenläufig arbeiten, was zu ungewollten Ergebnissen führen kann. Verändert man die Werte des Kondensators und der Spule, so kann das Ergebnis der Rechnung auch so aussehen:

    Überschwung vor dem eigentlich Abfall der Amplitudenerhöhung
/\
  1. Schaltungen wurden erstellt mit Multisim 11.2, National Instruments (http://www.ni.com/multisim/)